Після того, як туристи пройшли 5/7 туристичного маршруту, їм залишилося пройти 12 км. З'ясуй довжину всього шляху.
Ответы
Ответ дал:
1
Ответ:
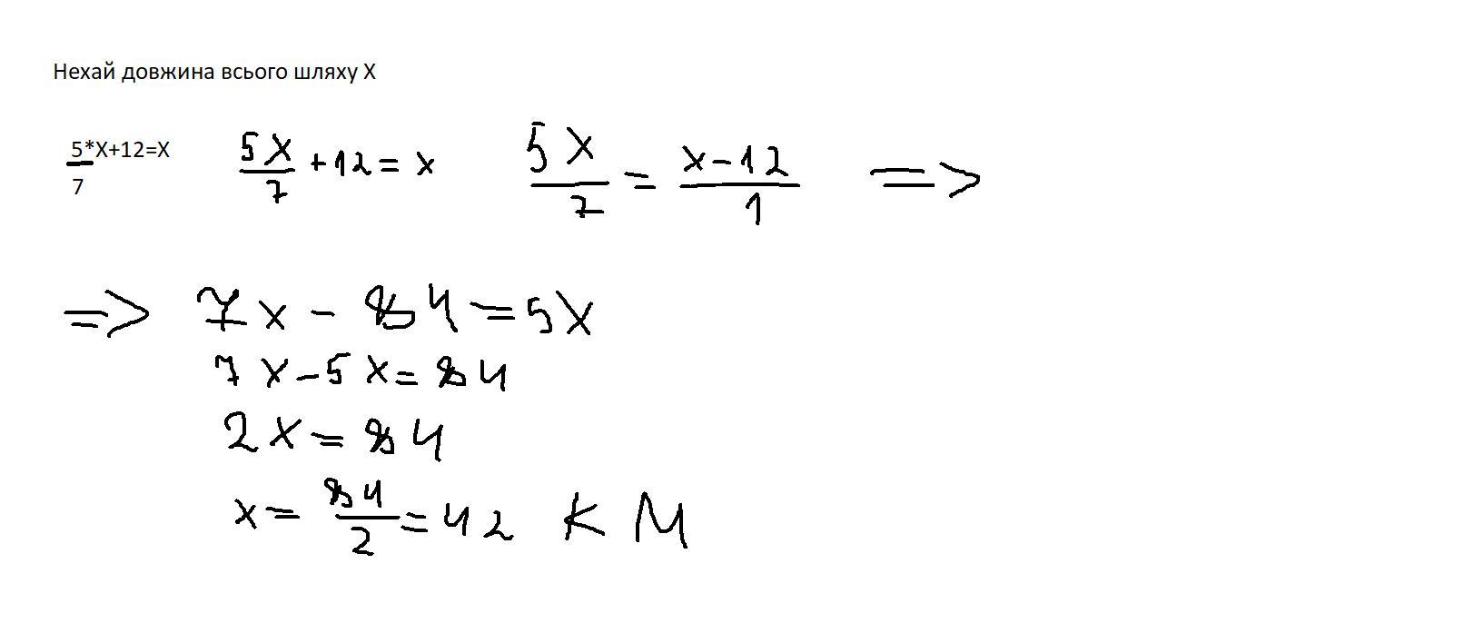
В фото 42 км
Пошаговое объяснение:
Приложения:

Ответ дал:
0
Ответ:
Відповідь №1 1-5 / 7=2/7 залишилося пройти 20:2/7=70 км весь маршрут=Відповідь №2 705/7 пройшли, 2/7 залишилося.
Пошаговое объяснение:
Вас заинтересует
2 года назад
2 года назад
3 года назад
3 года назад
8 лет назад
8 лет назад