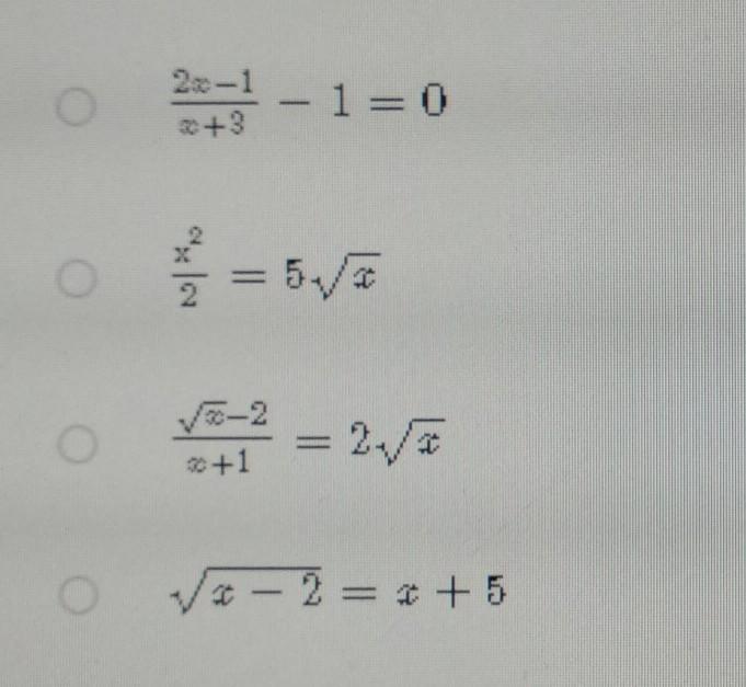
Рациональным (дробным рациональным) уравнением является:
СРОЧНО!!!!
Приложения:

ekatekateza:
первое
Ответы
Ответ дал:
0
Ответ:
Объяснение:
А
Ведь у него правая часть равна 0
Вас заинтересует
2 года назад
2 года назад
3 года назад
8 лет назад
9 лет назад