Ответы
Ответ дал:
0
решениеееееееееееееееееееееееееееее
Приложения:
Ответ дал:
0
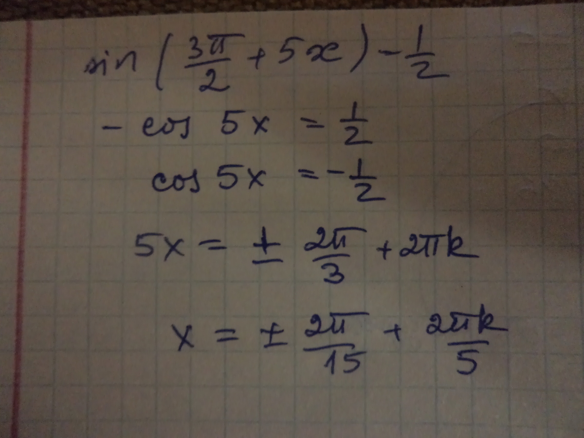
sin(3pi/2+5x)=1/2
(Sin(3pi/2+x)=-cosx)
-cos(5x)=1/2
cos(5x)=-1/2
5x=+-2pi/3+2piK
x=+-2pi/15+2/5*pi*K
(Sin(3pi/2+x)=-cosx)
-cos(5x)=1/2
cos(5x)=-1/2
5x=+-2pi/3+2piK
x=+-2pi/15+2/5*pi*K
Приложения:
Вас заинтересует
3 года назад
3 года назад
8 лет назад
8 лет назад
11 лет назад
11 лет назад