Ответы
Ответ дал:
2
Ответ:
Объяснение:
!!!!!!!!!!!!!!!!!!!!!!!!!!
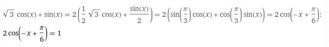
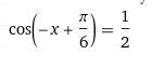
Приложения:

Ответ дал:
2
Відповідь:
4 відповідь
Пояснення:
Приложения:


Denelogik:
глянь другие задания в профиле если не сложно
Вас заинтересует
2 года назад
3 года назад
3 года назад
8 лет назад
8 лет назад
9 лет назад
9 лет назад