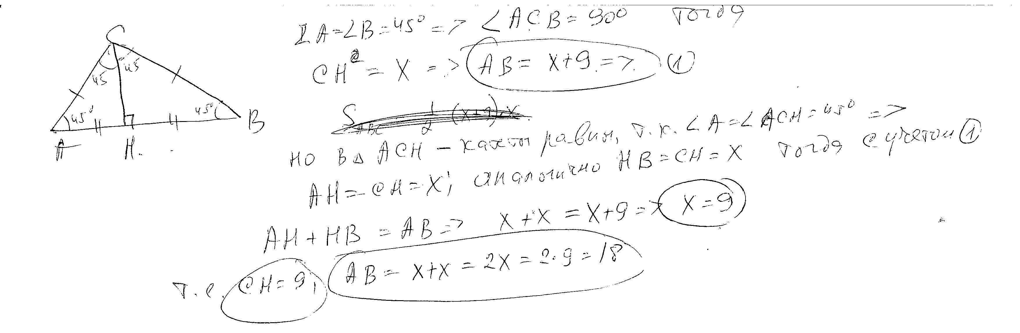
В рівнобедренному трикутнику кут при основі дорівнює 45°, а основа вища за висоту на 9 см. Обчислити основу і висоту
Ответы
Ответ дал:
1
Ответ: 9 и 18
Объяснение:
во вложенном файле
Приложения:

Вас заинтересует
2 года назад
3 года назад
3 года назад
8 лет назад
8 лет назад
9 лет назад