• Предмет: Математика
  • Автор: taspulata
  • Вопрос задан 8 лет назад

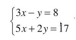
Решите систему уравнений способом замены:

Приложения:

Ответы

Ответ дал: KarTale
1

Ответ:

x=3.

Пошаговое объяснение:

y=3x-8

5x+2(3x-8)=17

5x+6x-16=17

11x-16=17

11x=33

x=3.

Вас заинтересует