• Предмет: Алгебра
  • Автор: artmerk2503
  • Вопрос задан 8 лет назад

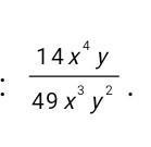
СОКРАТИТЕ ДРОБЬ СОКРАТИТЕ ДРОБЬ СОКРАТИТЕ ДРОБ

Приложения:

Ответы

Ответ дал: abai27100
1

2х. 1

---------

7х у

Удачи

Вас заинтересует