• Предмет: Алгебра
  • Автор: muhtarermekov2007
  • Вопрос задан 8 лет назад

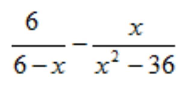
Пожалуйста помогите решить пример

Приложения:

Ответы

Ответ дал: Tiana10jeon
1

Ответ:

примерно так

Объяснение:

..............

Приложения:

muhtarermekov2007: ОГРОМНОЕ СПАСИБО!!!!!
Ответ дал: mirageKZ
1

Ответ:

\frac{6}{6-x}  + \frac{x}{36-x^{2} }  = \frac{6}{6-x}  + \frac{x}{(6-x)*(6+x)} }  = \frac{6*(6+x) + x}{36-x^{2} } = \frac{7x+36}{36-x^{2}}

Вас заинтересует