• Предмет: Алгебра
  • Автор: muhtarermekov2007
  • Вопрос задан 8 лет назад

Пожалуйста помогите решить пример даю 50 балов

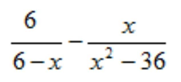
Приложения:

Ответы

Ответ дал: chesn0ch0k
2

Ответ:

6/6-x - x/x²-36=6/6-x + x/36-x²=6(6+x)+x/36-x²=36+6x+x/36-x²=7x+36/36-x²


muhtarermekov2007: спс
Вас заинтересует