Ответы
Ответ дал:
0
Ответ:
Объяснение:
1) б (1;1)
2)
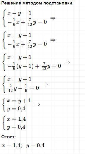
Приложения:



Вас заинтересует
2 года назад
2 года назад
3 года назад
3 года назад
8 лет назад
8 лет назад
9 лет назад