• Предмет: Алгебра
  • Автор: Аноним
  • Вопрос задан 8 лет назад

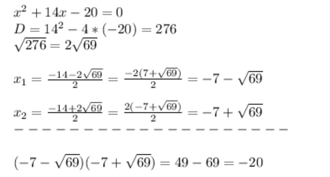
розв'яжіть рівняння за теоремою Вієта x²+14x-20=0​

Ответы

Ответ дал: eharabynov3
1

Ответ: -20

Объяснение:

Приложения:
Вас заинтересует