• Предмет: Алгебра
  • Автор: uderbaev
  • Вопрос задан 8 лет назад

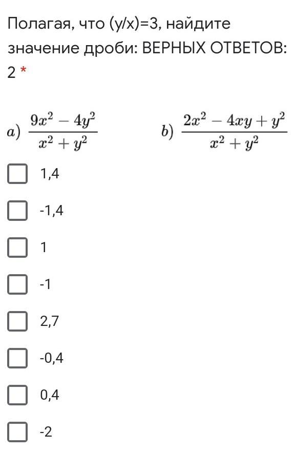
помогите пожалуйста пожалуйста срочно​

Приложения:

Ответы

Ответ дал: Maybeautiful
0

Ответ:

Вроде 1,-0.4

Просто я так решила

Вас заинтересует