Решить систему уравнений способом сложения
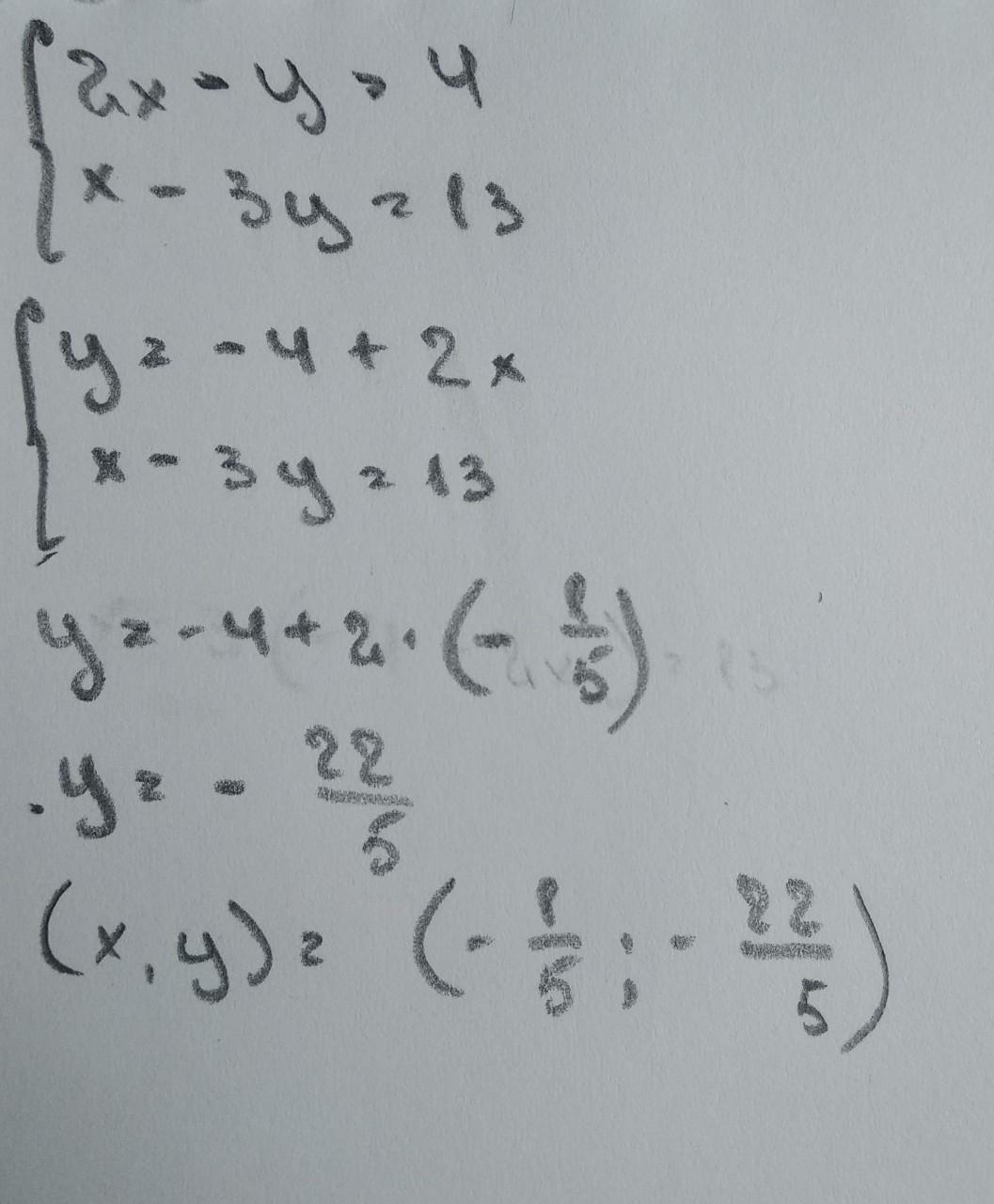
2х – у = 4
(х – Зу = 13
Приложения:

Аноним:
Сори я не умею.
Ответы
Ответ дал:
1
Ответ:
(х,у)=(-1/5; -22/5)
Объяснение:
__________________
Приложения:

Вас заинтересует
2 года назад
2 года назад
3 года назад
3 года назад
8 лет назад
9 лет назад
9 лет назад