• Предмет: Алгебра
  • Автор: roshenvip
  • Вопрос задан 8 лет назад

Вариант 1
Решите задачу с помощью системы уравнений:
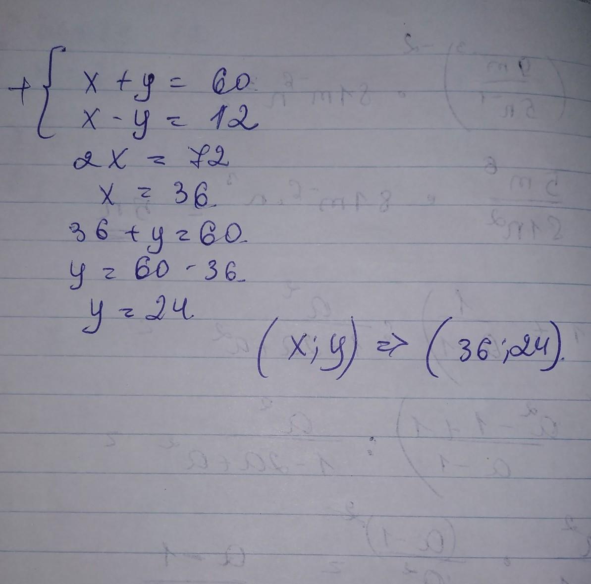
Задача. Сумма двух положительных чисел
равна 60, а их разность 12. Найдите эти числа.​

Ответы

Ответ дал: javohbekbulsinov0303
1

Объяснение:

Все показано на рисунке.

Отметьте ответ лучшим)))

Приложения:
Вас заинтересует