• Предмет: Алгебра
  • Автор: feidana
  • Вопрос задан 8 лет назад

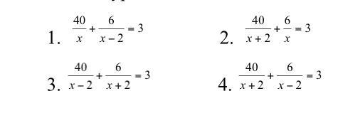
5. Катер прошел 40 км по течению реки и 6 км против течения, затратив на весь путь 3 ч. Найдите скорость катера в стоячей воде, если известно, что скорость течения равна 2 км/ч.
Обозначив через x км/ч скорость катера в стоячей воде, составили уравнения. Какое их них составлено верно?

Приложения:

Ответы

Ответ дал: mansik1301
0

Ответ:

4.

Объяснение:

чтобы найти скорость надо 40- расстояние разделить на скорость катера +2- скорость по течению

Вас заинтересует