ПРИВЕТ, МОЖЕШЬ ПАЖАЛУЙСТА РЕШИТЬ ЗАДАЧУ Python (ПИТОН)
БУДУ ОЧЕНЬ БЛОГАДАРЕН.
ЭТО НАДО ДЕЛАТЬ ПРЯМ В ПИТОНЕ.
УДАЧИ.
Приложения:

Ответы
Ответ дал:
1
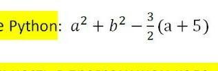
a = float(input("a="))
b = float(input("b="))
print("Значение нашего выражения:", a**2 + b**2 - 3/2*(a+5))
Вас заинтересует
2 года назад
2 года назад
3 года назад
8 лет назад
9 лет назад
9 лет назад