• Предмет: Геометрия
  • Автор: Аноним
  • Вопрос задан 8 лет назад

100 баллов! Помогите пожалуйста!!! Номер 41.4

Приложения:

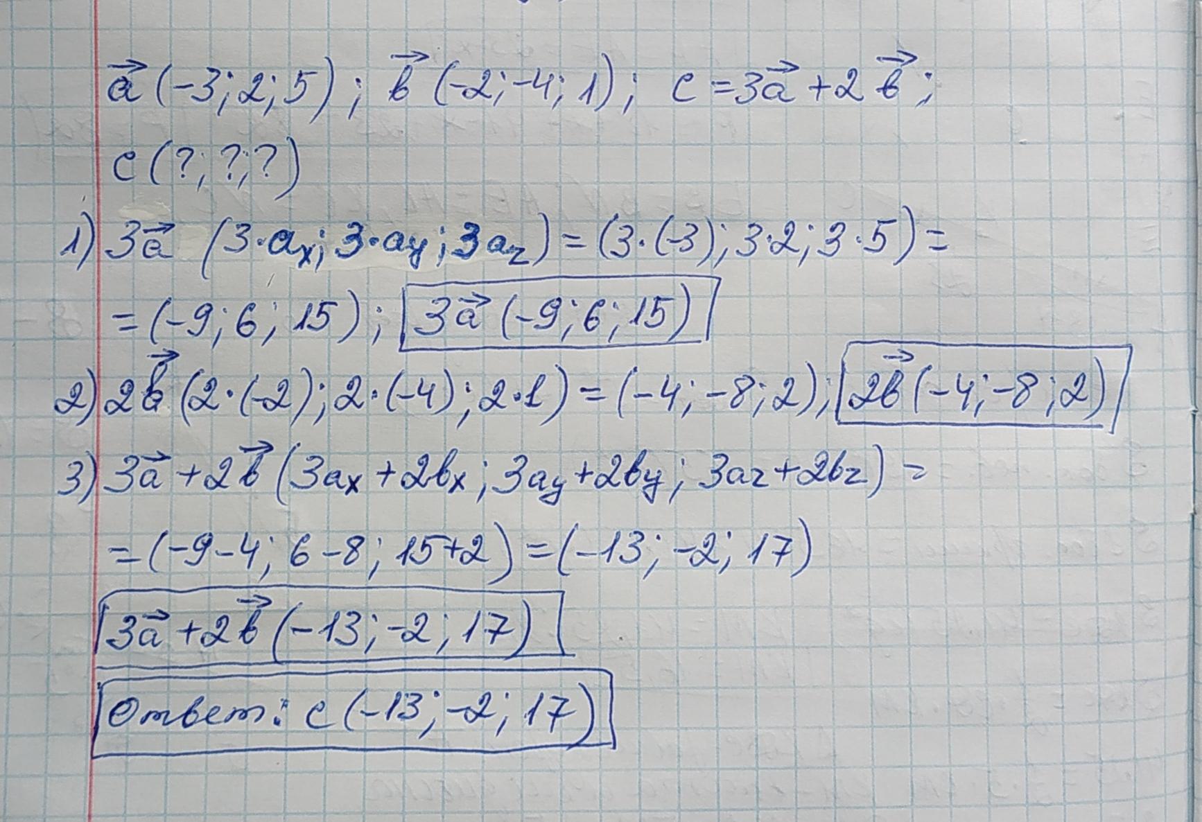
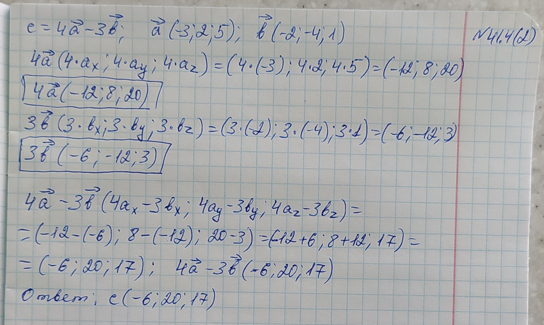
orjabinina: Даны вектора а(-3 ;2 ;5 ). в(-2 ;-4 ;1).
Найти координаты векторов 1) с=3а+2в ; 2) с=4а-3в.

1) а(-3 ;2 ;5 ) , 3а(-9;6;15) , умножили координаты на 3 ;
в(-2 ;-4 ;1) , 2в(-4;-8;2) , умножили координаты на 2 ;
Тогда с( -13 ;-2 ;17) сложили соответствующие координаты .
2) а(-3 ;2 ;5 ) , 4а(-12;8;20)
в(-2 ;-4 ;1) , 3в(-6;-12;3).
Тогда с( -6 ; 20 ; 17) вычли соответствующие координаты .

Ответы

Ответ дал: Iife20
2

Ответ:

Объяснение:

Решение на фото на фото на фото

Приложения:

pocunajkasimova: можешь помочь пожалуйста по геометрии у меня в вопосах
Вас заинтересует