• Предмет: Алгебра
  • Автор: vadimadadurov200301
  • Вопрос задан 8 лет назад

СРОЧНО!!!!! ДАЮ 20 БАЛЛОВ ОТВЕТ РАССПИСАТЬ И НАПИСАТЬ В ТЕТРАДИ​

Приложения:

Ответы

Ответ дал: 12466467
1

Ответ:

Объяснение:

ВРОДЕ ТАК

Приложения:

vadimadadurov200301: а расписать?
12466467: Вот исправила
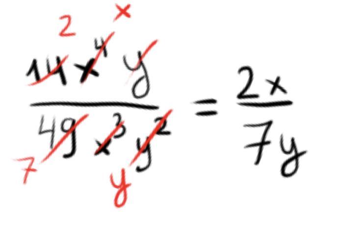
Ответ дал: valeriazhicol
1

Ответ:

2х/7у

Объяснение:

сокращаем 14 и 49 (делим на 7),и так с "х" и "у", только там нужно сократить степень

Приложения:
Вас заинтересует