• Предмет: Алгебра
  • Автор: ViciPotteromanka
  • Вопрос задан 8 лет назад

нужно решить плиз помогитеееее
мне уже математичка пишет​

Приложения:

Ответы

Ответ дал: Victor1a64
2

ответ:

4

пошаговое объяснение:

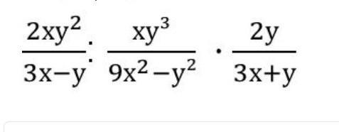
2ху²/ 3х-у × 9х² - у²/ ху³ × 2у / 3х+у

2ху²/ 3х-у × (3х - у)(3х + у)/ ху³ × 2у / 3х+у

2/ 3х-у × (3х - у)(3х + у)/ у × 2у / 3х+у

2×1×2 = 4

надеюсь помогла)


ViciPotteromanka: БОЖЕ СПАСИБО
Victor1a64: не за что)
Вас заинтересует