с балкона находящегося на высоте 15 м вертикально вверх бросают мяч со скоростью 10 м/с. Определите время полета мяча и его скорость в момент падения на землю . Нужно подробное решение , чтобы понять
Ответы
Ответ дал:
0
Ответ:
скорость находиться по формуле v=
g ускорение свободного падения = 9,8 m*c**-2
h высота
v = корень2*9,8*15 = корень294 = 17m/с
время по формуле
t = = корень 2 *15/9.8 = 1.7 с
Объяснение:
Ответ дал:
1
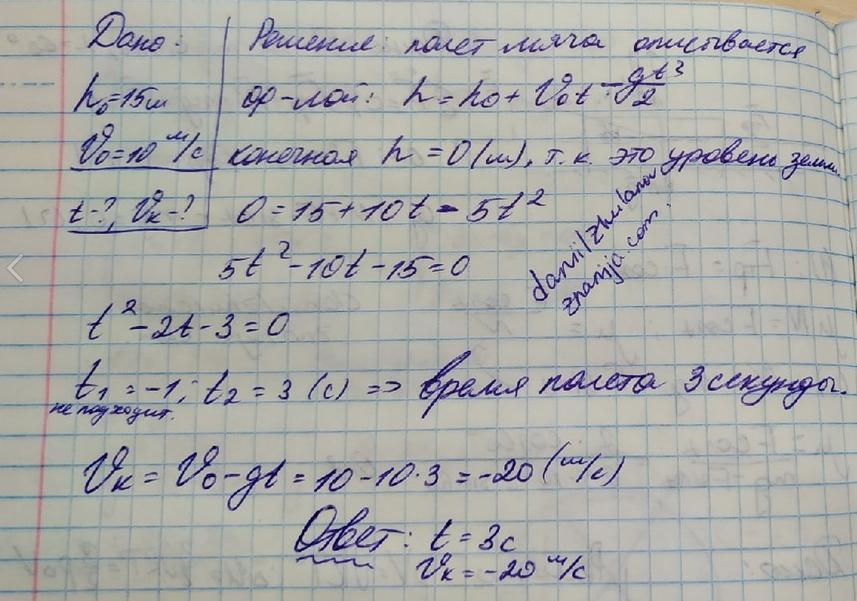
Привет!)
решение на фото)
Приложения:

Вас заинтересует
2 года назад
2 года назад
3 года назад
3 года назад
8 лет назад
9 лет назад
9 лет назад