• Предмет: Алгебра
  • Автор: ViciPotteromanka
  • Вопрос задан 8 лет назад

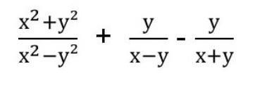
решить задачу:

хелпь людь​

Приложения:

Ответы

Ответ дал: neksusha
1
вот типо такого чтоли
Приложения:
Вас заинтересует