• Предмет: Математика
  • Автор: sofiroro21
  • Вопрос задан 8 лет назад

Пж, Решите уравнение с решением​

Приложения:

Ответы

Ответ дал: oleksandrpetrov
1

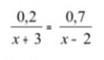
 \frac{0.2}{x + 3}  =  \frac{0.7}{x - 2}  \\ 0.2 \times (x - 2) = 0.7 \times (x + 3) \\ 0.2x - 0.4 = 0.7x + 2.1 \\ 0.2x - 0.7x = 2.1 + 0.4 \\  - 0.5x =2.5 \\  \boldsymbol{x =  - 5}

Вас заинтересует