• Предмет: Математика
  • Автор: melehedafeo09
  • Вопрос задан 8 лет назад

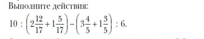
сделайте пожалуйста!​

Приложения:

Ответы

Ответ дал: kkoshmar7
0

Ответ:

равно 8 пятых

Пошаговое объяснение:

цыгани украли


melehedafeo09: можно по действиям?
Вас заинтересует