• Предмет: Алгебра
  • Автор: dentorchannel
  • Вопрос задан 8 лет назад

можно пожалуйста подробное решение!!! срочно!!!​

Приложения:

Ответы

Ответ дал: kirichkrut1
0

Ответ:

30

Объяснение:

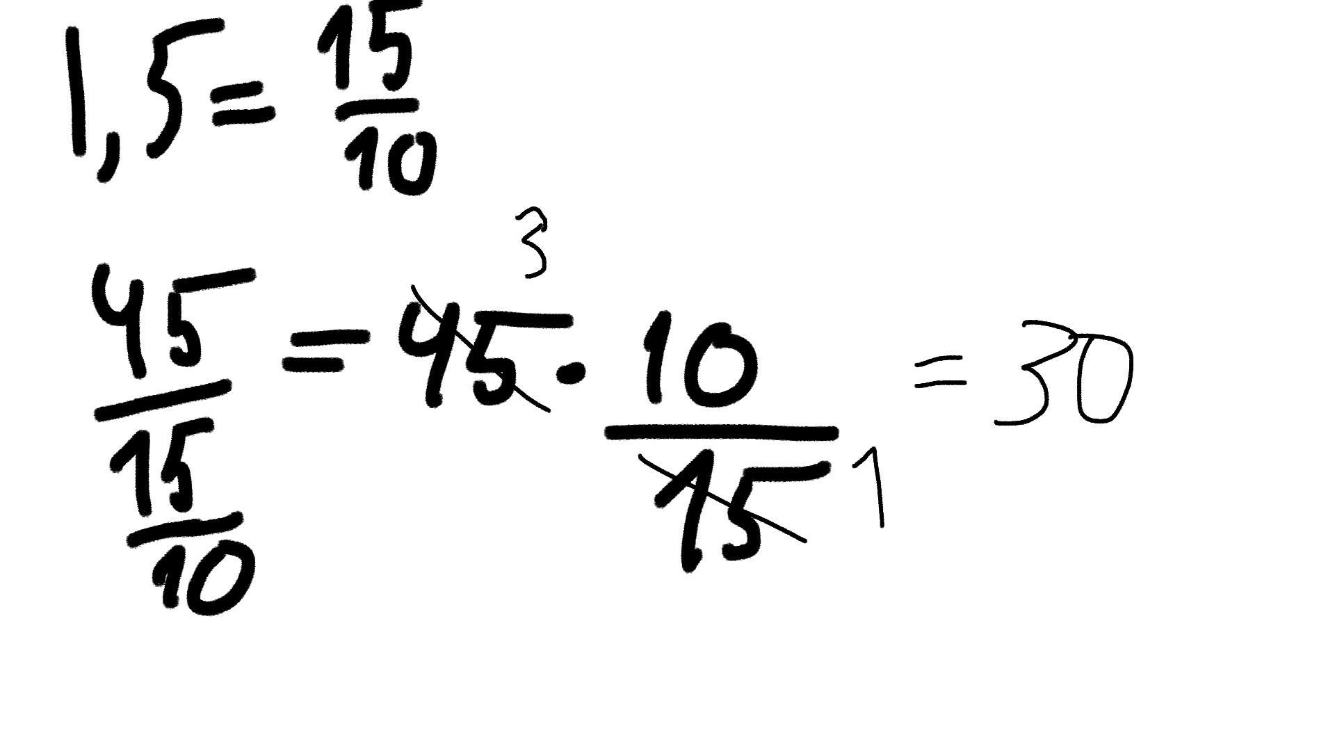
умножаем 5 на 0.3 и получаем 1.5.

СМОТРИ ФОТО

Чтобы поделить на дробь, её нажно перевернуть и умножить

Приложения:
Ответ дал: afet74
2

Ответ: 30

Объяснение:

Приложения:
Вас заинтересует