• Предмет: Алгебра
  • Автор: mtn2010
  • Вопрос задан 8 лет назад

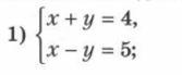
задание 7 класса нужно алгебраическое решение

Приложения:

Ответы

Ответ дал: linarakomarova2007
0

Ответ:

произведем сложение

Объяснение:

получаем

2х=9

х=4,5

подставим в первое:

4,5+у=4

у=4-4,5

у= (-0,5)

нашли х и у

Вас заинтересует