• Предмет: Алгебра
  • Автор: alina66799
  • Вопрос задан 8 лет назад

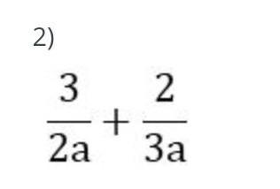
выполнить сложение дробей​

Приложения:

Ответы

Ответ дал: likeguy27
1

Ответ:

13/6а

Объяснение:

9/6а. + 4/6а = 13/6а

Ответ дал: uzubkova636
1

Ответ:

ЗДЕСЬ нужно найти общий знаменатель. Он будет 6а

3×3а+2×2а/6а?=9а+4а/6а=13а/6а=13/6=2,16

Вас заинтересует