Ответы
Ответ дал:
0
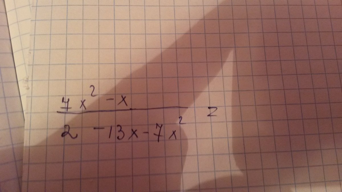
(7х^2-х)/(2-13х-7х^2)= выносим из числитея за скобку х, а в знаменателе найдем корни
числитель:
х(7х-1)
знаменатель:
Д=169+56=225 (15)
х1=(13+15)/(-14)=-2
х2=(13-15)/(-14)=1/7
-7(х-1/7)(х+2)
Запишем
х(7х-1)/-(7х-1)(х+2)=-х/х+2
х(7х-1)/
числитель:
х(7х-1)
знаменатель:
Д=169+56=225 (15)
х1=(13+15)/(-14)=-2
х2=(13-15)/(-14)=1/7
-7(х-1/7)(х+2)
Запишем
х(7х-1)/-(7х-1)(х+2)=-х/х+2
х(7х-1)/
Ответ дал:
0
В конце х(7х-1)/ это лишнее
Вас заинтересует
3 года назад
3 года назад
8 лет назад
8 лет назад
11 лет назад
11 лет назад
11 лет назад