• Предмет: Математика
  • Автор: Динара001
  • Вопрос задан 8 лет назад

Помогите упростить выражение, срочно!

Приложения:

Ответы

Ответ дал: Artsounds
1

Ответ:

  \\ \frac{n {}^{2} + 4nm + 4m {}^{2}  }{n {}^{3}  + 8m {}^{3} }  =  \frac{n {}^{2}  + 4mn + 4m {}^{2} }{(n + 2m) \times (n {}^{2} - 2mn  + 4m {}^{2} }  =  \frac{(n + 2m) {}^{2} }{(n + 2m) \times (n {}^{2} - 2mn + 4m {}^{2}  }  =  \frac{n + 2m}{n {}^{2} - 2mn + 4m {}^{2}  }

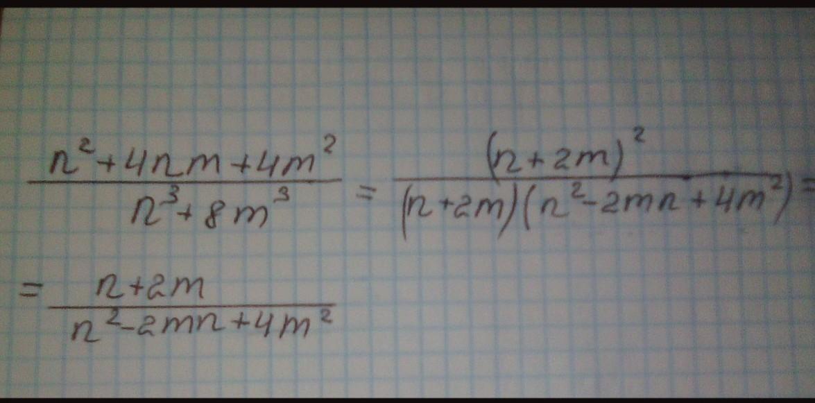
Ответ дал: Austerlitz
2

Во вложении ⬆️⬆️⬆️

Качество фото не очень, но разобрать можно.

Кажется правильно, возможно где-то сделал ошибку. Надеюсь, что помог.

Приложения:
Вас заинтересует