• Предмет: Алгебра
  • Автор: ovsyannikovstipan
  • Вопрос задан 8 лет назад

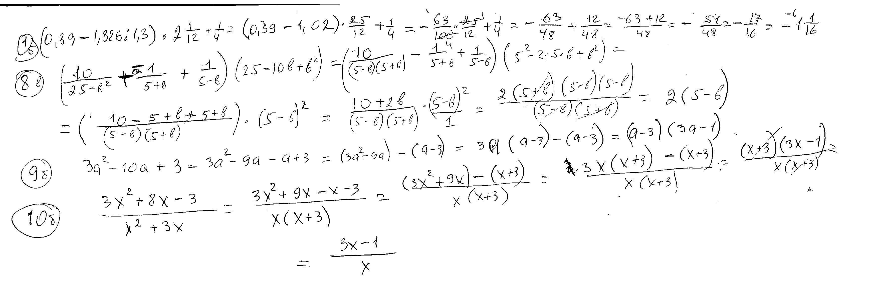
Помогите сделать №1 (б) №8(в) №9(б) №10(б)

Приложения:

ovsyannikovstipan: 8 кл

Ответы

Ответ дал: ужнеужели
1

Ответ: У-у-у-у!

Объяснение:

во вложенном файле

Приложения:
Вас заинтересует