• Предмет: Алгебра
  • Автор: DIM0N228
  • Вопрос задан 8 лет назад

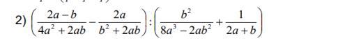
ДАЮ 100 БАЛЛОВ!!! Упростите выражение

Приложения:

Strange08: как ответить если висит другой

Ответы

Ответ дал: NNNLLL54
1

Ответ:

\Big(\dfrac{2a-b}{4a^2+2ab}-\dfrac{2a}{b^2+2ab}\Big):\Big(\dfrac{b^2}{8a^3-2ab^2}+\dfrac{1}{2a+b}\Big)=\\\\\\=\Big(\dfrac{2a-b}{2a(2a+b)}-\dfrac{2a}{b(b+2a)}\Big):\Big(\dfrac{b^2}{2a(2a-b)(2a+b)}+\dfrac{1}{2a+b}\Big)=\\\\\\=\dfrac{(2a-b)b-2a\cdot 2a}{2ab(2a+b)}:\dfrac{b^2+2a(2a-b)}{2a(2a-b)(2a+b)}=\\\\\\=\dfrac{2ab-b^2-4a^2}{2ab(2a+b)}:\dfrac{4a^2-2ab+b^2}{2a(2a-b)(2a+b)}=\\\\\\=\dfrac{-(4a^2-2ab+b^2)}{2ab(2a+b)}\cdot \dfrac{2a(2a-b)(2a+b)}{4a^2-2ab+b^2}=\dfrac{-(2a-b)}{b}=\dfrac{b-2a}{b}

Вас заинтересует