На python
Необходимо спроектировать, протестировать и разработать систему, соответствующую
нижеописанному сценарию. Любая написанная программа должна включать подсказку для ввода данных, сообщение об ошибке и другую необходимую введённую ясную и понятную информацию.
Любые переменные, константы и другие используемые идентификаторы должны быть обозначены.
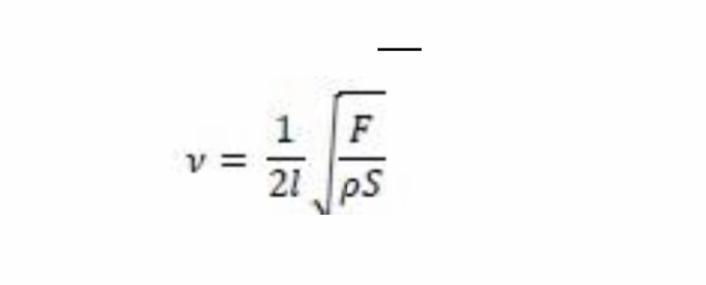
Создать проект, который позволяет рассчитать зависимость частоты колебаний основного тона струны от ее длины l, плотности ρ, площади поперечного сечения S и силы натяжения F, используя выражение:
СРОЧНООО ДАЮ 30 баллов,
Приложения:
Ответы
Ответ дал:
6
from math import *
l = float(input("Введите длину (запишите только число, значение в СИ): "))
p = float(input("Введите плотность (запишите только число, значение в СИ): "))
S = float(input("Введите площадь поперечного сечения (запишите только число, значение в СИ): "))
F = float(input("Введите силу натяжения (запишите только число, значение в СИ): "))
print("v = ", 1/(2*l)*(sqrt(F/(p*S))))
adiya2673:
Где ковыками и введите… написать самому
Или просто переписать
можно так оставить, можно что-нибудь другое вписать
в кавычках просто текст, который выведется пользователю перед тем, как он введет что-то в консоль
А ок
| = float(input())
p = float(input())
S= float(input())
F= float(input())
print("v = ", 1/(2*I)*(sqrt(F/(p*S))))
p = float(input())
S= float(input())
F= float(input())
print("v = ", 1/(2*I)*(sqrt(F/(p*S))))
Вот так должно получиться?
ну да
Вас заинтересует
2 года назад
2 года назад
3 года назад
9 лет назад
9 лет назад