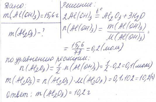
Сколько граммов оксида алюминия Al2O3 получится при разложении 15,6 г гидроксида алюминия Al (OH)3?
Ответы
Ответ дал:
21
Если не ошибаюсь, то вот так
Приложения:

Вас заинтересует
2 года назад
2 года назад
3 года назад
3 года назад
8 лет назад