• Предмет: Математика
  • Автор: kl08thnnna
  • Вопрос задан 8 лет назад

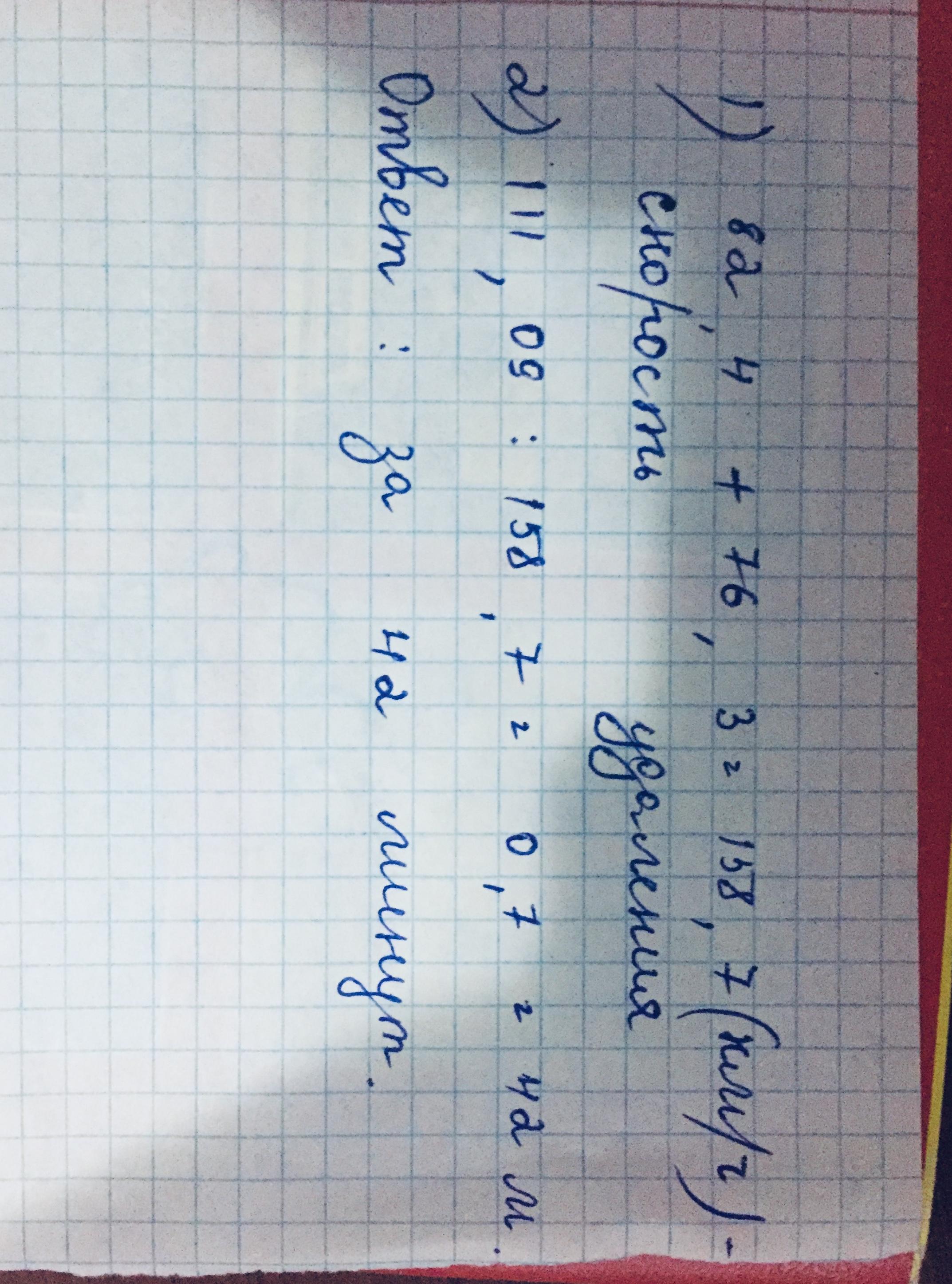
Из города одновременно в противоположных направлениях выехали два автомобиля. Скорость первого автомобиля равна 82,4 км/ч, а скорость второго -76,3 км/ч. Через сколько часов расстояние между ними будет равно 111,09 км

Ответы

Ответ дал: MiroslavaMuromskaya
1

Ответ

111,09: (82,4+76,3)=0,7 часа

Пошаговое объяснение:

Ответ дал: mukham09
2

Ответ:вот

Пошаговое объяснение:

Приложения:

mukham09: сделай пожалуйста лучшим ответом
mukham09: пожалуйста
Вас заинтересует