• Предмет: Математика
  • Автор: Аноним
  • Вопрос задан 8 лет назад

и еще второй столбик в профиле ​

Приложения:

NNNLLL54: фото такого поганого качества ....

Ответы

Ответ дал: NNNLLL54
2

Ответ:

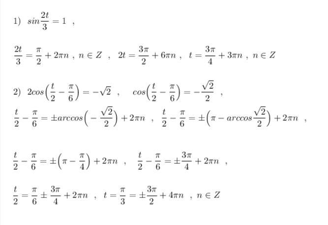
1)\ \ sin\dfrac{2t}{3}=1\ \ ,\\\\\\\dfrac{2t}{3}=\dfrac{\pi }{2}+2\pi n\ ,\ n\in Z\ \ ,\ \ 2t=\dfrac{3\pi}{2}+6\pi n\ ,\ \ t=\dfrac{3\pi }{4}+3\pi n\ ,\ n\in Z\\\\\\2)\ \ 2cos\Big(\dfrac{t}{2}-\dfrac{\pi}{6}\Big)=-\sqrt2\ \ ,\ \ \ \ cos\Big(\dfrac{t}{2}-\dfrac{\pi}{6}\Big)=-\dfrac{\sqrt2}{2}\ \ ,\\\\\dfrac{t}{2}-\dfrac{\pi}{6}=\pm arccos\Big(-\dfrac{\sqrt2}{2}\Big)+2\pi n\ \ ,\ \ \dfrac{t}{2}-\dfrac{\pi}{6}=\pm \Big(\pi -arccos\dfrac{\sqrt2}{2}\Big)+2\pi n\ \ ,

\dfrac{t}{2}-\dfrac{\pi}{6}=\pm \Big(\pi -\dfrac{\pi}{4}\Big)+2\pi n\ \ ,\ \ \ \dfrac{t}{2}-\dfrac{\pi}{6}=\pm \dfrac{3\pi}{4}+2\pi n\ \ ,\\\\\\\dfrac{t}{2}=\dfrac{\pi}{6}\pm \dfrac{3\pi}{4}+2\pi n\ \ ,\ \ t=\dfrac{\pi}{3}=\pm \dfrac{3\pi}{2}+4\pi n\ \ ,\ n\in Z

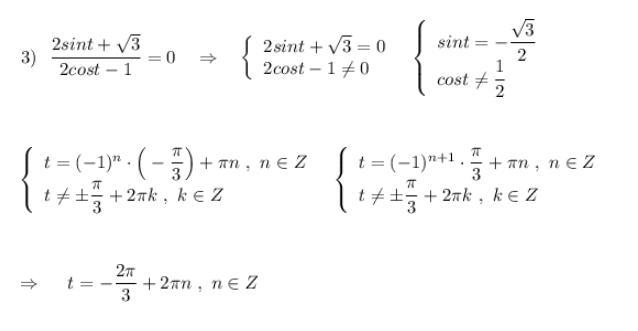
3)\ \ \dfrac{2sint+\sqrt3}{2cost-1}=0\ \ \ \Rightarrow \ \ \ \left\{\begin{array}{l}2sint+\sqrt3=0\\2cost-1\ne 0\end{array}\right\ \ \left\{\begin{array}{l}sint=-\dfrac{\sqrt3}{2}\\cost\ne \dfrac{1}{2}\end{array}\right

\left\{\begin{array}{l}t=(-1)^{n}\cdot \Big(-\dfrac{\pi}{3}\Big)+\pi n\ ,\ n\in Z\\t\ne \pm \dfrac{\pi}{3}+2\pi k\ ,\ k\in Z\end{array}\right\ \ \left\{\begin{array}{l}t=(-1)^{n+1}\cdot \dfrac{\pi}{3}+\pi n\ ,\ n\in Z\\t\ne \pm \dfrac{\pi}{3}+2\pi k\ ,\ k\in Z\end{array}\right

{}\ \Rightarrow \ \ \ \ t=-\dfrac{2\pi }{3}+2\pi n\ ,\ n\in Z

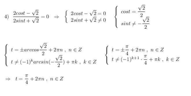
4)\ \ \dfrac{2cost-\sqrt2}{2sint+\sqrt2}=0\ \ \Rightarrow \ \ \left\{\begin{array}{l}2cost-\sqrt2=0\\2sint+\sqrt2\ne 0\end{array}\right\ \ \left\{\begin{array}{l}cost=\dfrac{\sqrt2}{2}\\sint\ne -\dfrac{\sqrt2}{2}\end{array}\right

\left\{\begin{array}{l}t=\pm arccos\dfrac{\sqrt2}{2}+2\pi n\ ,\ n\in Z\\t\ne (-1)^{k}arcsin(-\dfrac{\sqrt2}{2})+\pi k\ ,\ k\in Z\end{array}\right\ \ \left\{\begin{array}{l}t=\pm \dfrac{\pi }{4}+2\pi n\ ,\ n\in Z\\t\ne (-1)^{k+1}\cdot \dfrac{\pi}{4}+\pi k\ ,\ k\in Z\end{array}\right\\\\\\{}\Rightarrow \ \ t=\dfrac{\pi}{4}+2\pi n\ ,\ n\in Z

Приложения:

Аноним: какая кнопочка? сердечко?
Аноним: Да.
Аноним: вам же будут уведомления поступать. один раз сказала, думала достаточно. очень даже и благодарна вам
NNNLLL54: ну и что, что уведомления, я их читаю ...
Аноним: А вы вчера видели, я вам писал ?
NNNLLL54: видела, читала
Аноним: просто вы уже больше 26.000 вопросов ответили и я думала вы не обращаете внимание на спасибо
Аноним: Прям за душевный разговор)) Только пирогов с чаем не хватает. Ладно, всем удачи.
NNNLLL54: любому человеку приятно услышать (увидеть) простое спасибо
Аноним: да, извините. я ещё даже тетрадку не открывала. обычно, когда открываю, появляются вопросы, а потом и спасибо
Вас заинтересует