• Предмет: Математика
  • Автор: alishzhaman
  • Вопрос задан 8 лет назад

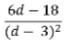
При каких значениях переменной, алгебраическая дробь имеет смысл:

Приложения:

Ответы

Ответ дал: sergeevaolga5
1

Ответ:

(-∞;3)∪(3;+∞)

Пошаговое объяснение:

Дробь имеет смысл, если её знаменатель не равен нулю

(d-3)²≠0

d-3≠0

d≠3

d ∈(-∞;3)∪(3;+∞)

Вас заинтересует