• Предмет: Математика
  • Автор: sagynalievvaa
  • Вопрос задан 8 лет назад

Вычислите пажалуйста​

Приложения:

Ответы

Ответ дал: iramazurk
1

Ответ:

Пошаговое объяснение:

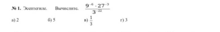
1) 9^-6 * 27^-3 =

(3²)^-6 * (3³)^-3 =

3^-12 * 3^-9 = 3^-21

2) 3^-21 : 3^-22 = 3¹ = 3

Ответ : г) 3

Ответ дал: dobra888
0

Ответ: г ) 3 .

Пошаговое объяснение:

1 ) ( 9 ⁻⁶ * 27⁻³ )/ 3 ⁻²² = [ ( 3² )⁻⁶ * ( 3³ ) ⁻³ ] / 3 ⁻²² = ( 3⁻¹² * 3⁻⁹ ) / 3 ⁻²² =

= 3⁻¹²⁻⁹ / 3 ⁻²² = 3⁻²¹ / 3 ⁻²² = 3 ⁻²¹ ⁺²² = 3 ¹ = 3 .

Вас заинтересует