• Предмет: Алгебра
  • Автор: amestrisq
  • Вопрос задан 8 лет назад

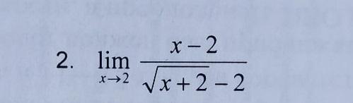
(2)ВЫчислите предел функции

Приложения:

Ответы

Ответ дал: NNNLLL54
0

Ответ:

\lim\limits_{x \to 2}\, \dfrac{x-2}{\sqrt{x+2}-2}=\lim\limits_{x \to 2}\, \dfrac{(x-2)(\sqrt{x+2}+2)}{(\sqrt{x+2}-2)(\sqrt{x+2}+2)}=\\\\\\=\lim\limits_{x \to 2}\, \dfrac{(x-2)(\sqrt{x+2}+2)}{(x+2)-4}=\lim\limits_{x \to 2}\, \dfrac{(x-2)(\sqrt{x+2}+2)}{x-2}=\\\\\\=\lim\limits_{x \to 2}\, (\sqrt{x+2}+2)=\sqrt{4}+2=2+2=4

Вас заинтересует