• Предмет: Алгебра
  • Автор: kOrOlEvA0108
  • Вопрос задан 8 лет назад

❤п❤о❤ж❤а❤л❤у❤й❤с❤т❤а❤​

Приложения:

Ответы

Ответ дал: niktory
1

Ответ:

См ниже

Объяснение:

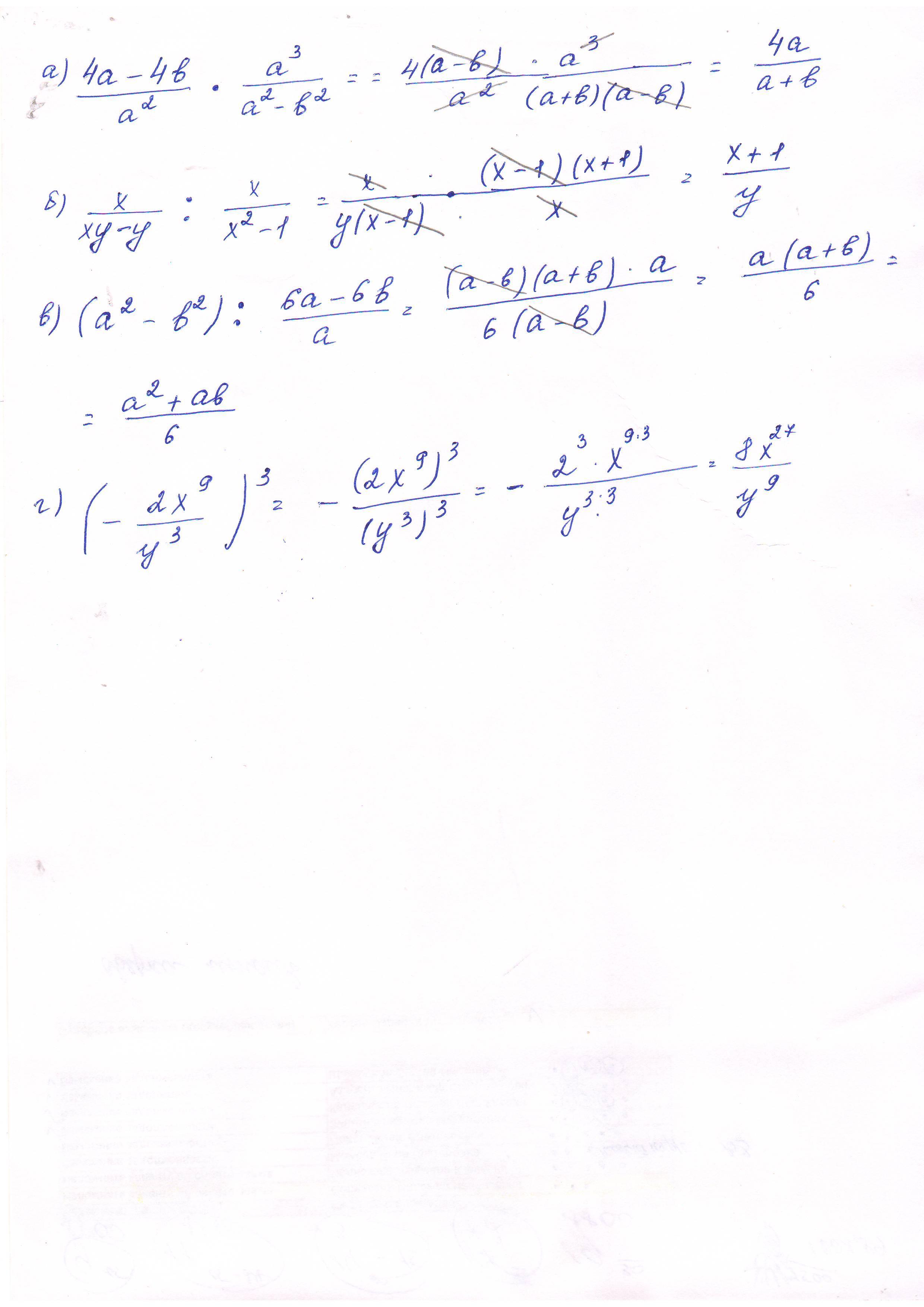
Решение в прикрепленном файле.

Приложения:
Ответ дал: ksicbann
1
.......................
Приложения:
Вас заинтересует