Ответы
Ответ дал:
1
Ответ:
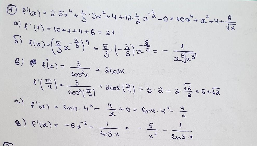
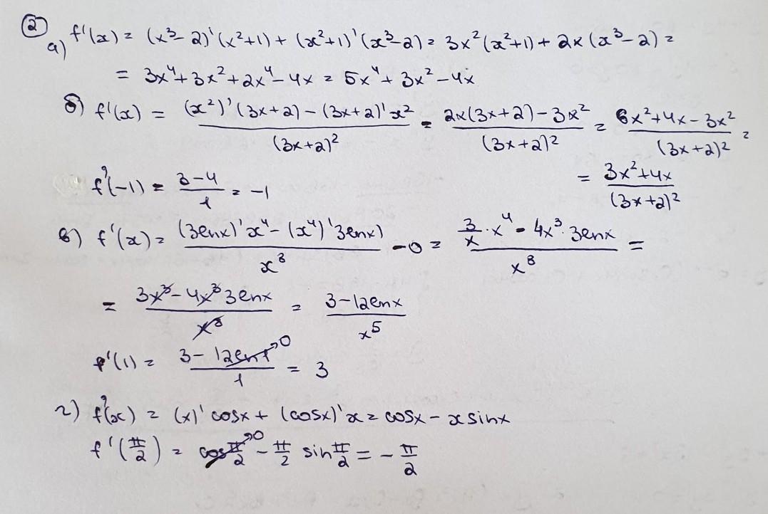
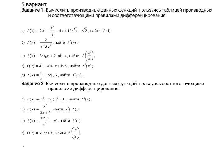
решение на фотографиях
Приложения:


asavostanov744:
Спасибо большое!
Вас заинтересует
2 года назад
2 года назад
3 года назад
8 лет назад
8 лет назад