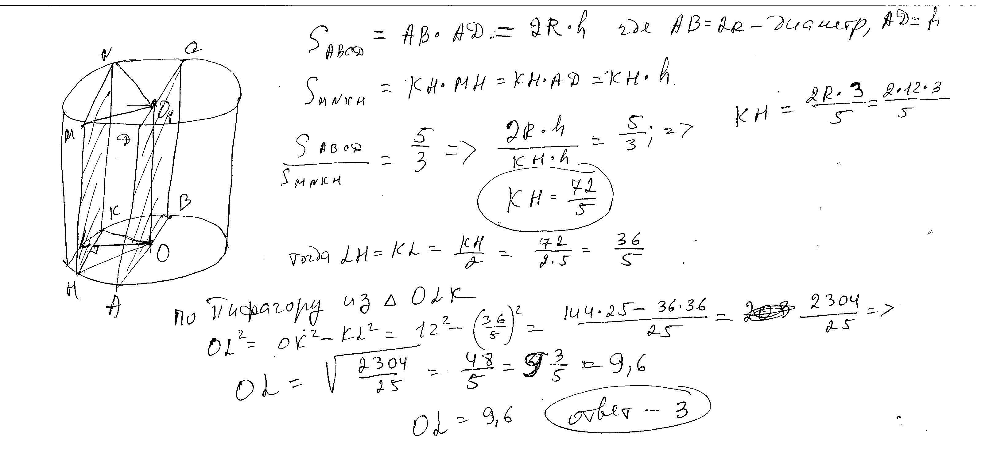
Радиус цилиндра равен 12 расстояние между осевым сечением и сечением в 3/5 раза меньше площади равно :
НУЖНА НЕ ПРОСТО БУКВА А РЕШЕНИЕ !!!
Приложения:

Ответы
Ответ дал:
0
Ответ: ответ -3
Объяснение:
Как скажете, капитан! Решение во вложении
Приложения:

Вас заинтересует
2 года назад
3 года назад
3 года назад
8 лет назад
8 лет назад
9 лет назад