• Предмет: Алгебра
  • Автор: valeriabirukova05
  • Вопрос задан 8 лет назад

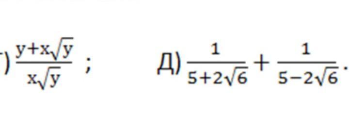
Освободите от иррациональности в знаменателе ​

Приложения:

Ответы

Ответ дал: Dedagenn
0

Ответ:

г) = (у√у+ху)/ху

д) = (5-2√6+5+2√6)/(5²-2*6) =10/13

Вас заинтересует