• Предмет: Алгебра
  • Автор: valeriabirukova05
  • Вопрос задан 8 лет назад

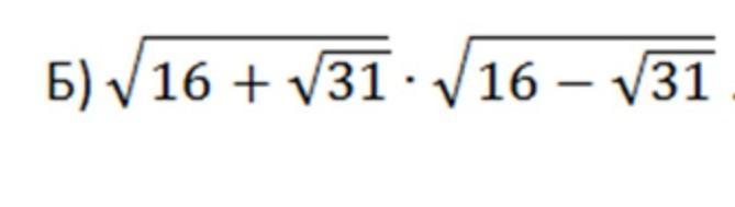
Найдите значение выражения ​

Приложения:

Ответы

Ответ дал: Аноним
1

Объяснение:

////////////////////////

Приложения:
Вас заинтересует