Ответы
Ответ дал:
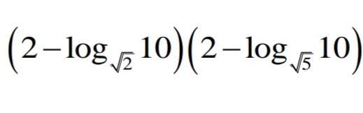
0
Пошаговое объяснение:
Все на фото, но если будешь решать по тождествам, должно получится меньше, ибо это через программу, для примерного понимания
Приложения:

Вас заинтересует
2 года назад
3 года назад
3 года назад
8 лет назад
8 лет назад
9 лет назад