• Предмет: Математика
  • Автор: shkhrizodajuraboeva0
  • Вопрос задан 8 лет назад

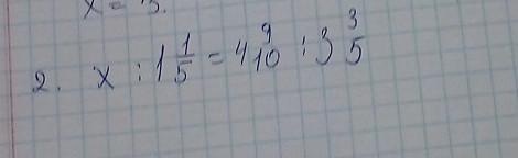
Решите пропорцию:
х: 1,1/5= 4,9/10: 3,3/5​

Приложения:

Ответы

Ответ дал: bilivam100
1

Ответ:

x=1\frac{19}{30}

Пошаговое объяснение:

x=(1\frac{1}{5} *4\frac{9}{10} ):3\frac{3}{5} ;\\x=(\frac{6}{5} *\frac{49}{10} ):\frac{18}{5} ;\\x=\frac{147}{25} *\frac{5}{18}; \\x=\frac{49}{30} ;\\x=1\frac{19}{30}

Ответ дал: tamaranedzumi
2

Ответ: x =1 \frac{19}{30}

Пошаговое объяснение:

\frac{x}{\frac{6}{5} } =\frac{\frac{49}{10} }{\frac{18}{5} }

x =\frac{\frac{49}{10}*6 }{\frac{18}{5}*5 }

x = \frac{\frac{49*3}{5} }{18}

x = \frac{49}{30}

x =1 \frac{19}{30}

Вас заинтересует