Ответы
Ответ дал:
1
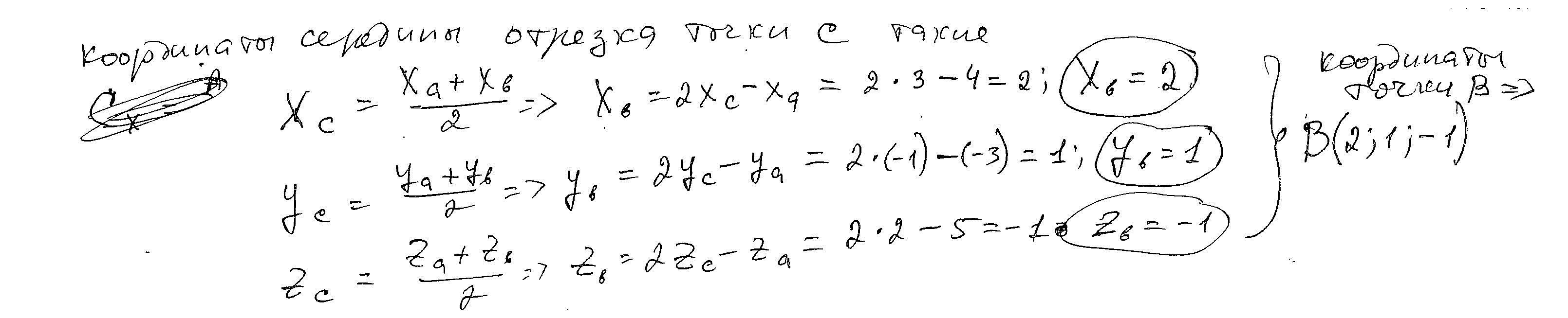
Ответ: В(2;1;-1)
Объяснение:
во вложении
Приложения:

Вас заинтересует
2 года назад
3 года назад
8 лет назад
9 лет назад
9 лет назад