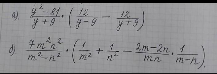
Ответы
Ответ дал:
1
Ответ:
...,.,.,..,.,..,.,.. .,.,..,
Приложения:

Вас заинтересует
2 года назад
2 года назад
3 года назад
3 года назад
8 лет назад
8 лет назад