• Предмет: Алгебра
  • Автор: KimAivi16
  • Вопрос задан 8 лет назад

упростить. с решением пожалуйста.​

Приложения:

Ответы

Ответ дал: Warlock1
1

Ответ:

так

Объяснение:

Приложения:
Ответ дал: 7limonchiK7
1

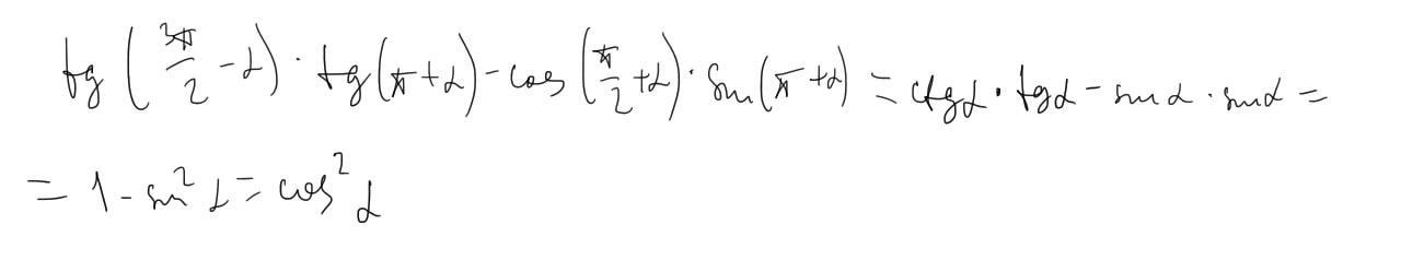
Воспользуемся формулами привидения

 \cot(a)  \tan(a)    -  \sin(a)   \sin(a)

Воспользуемся тригогометрической формулой, чтобы привести первое слагаемое

1 -  \sin {}^{2} (a)

Воспользуемся основным тригонометрическим тождеством

 \cos {}^{2} (a)

Это и есть наш ответ (:

Вас заинтересует