• Предмет: Алгебра
  • Автор: restIess
  • Вопрос задан 8 лет назад

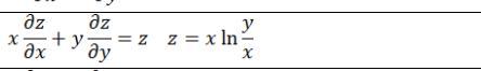
Проверить, удовлетворяет ли указанному уравнению данная функция Z

Приложения:

Simba2017: нет...
restIess: Ну мне бы ход решения)

Ответы

Ответ дал: mishsvyat
6

Ответ:

Да, выполняется

Объяснение:

z=x\cdot ln\frac{y}{x} \\\\\frac{\partial z}{\partial x}= ln\frac{y}{x}+x\cdot \frac{x}{y}\cdot(-\frac{y}{x^2})=ln\frac{y}{x} -1 \\\\\frac{\partial z}{\partial y}=x\cdot \frac{x}{y}\cdot \frac{1}{x}=\frac{x}{y} \\\\\\x\,  \frac{\partial z}{\partial x}+y\,\frac{\partial z}{\partial y}=x\cdot ln\frac{y}{x}-x+y\cdot\frac{x}{y} =x\cdot ln\frac{y}{x}-x+x=x\cdot ln\frac{x}{y}=z

Вас заинтересует