• Предмет: Алгебра
  • Автор: elvirator34
  • Вопрос задан 8 лет назад

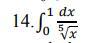
Вычислить несобственный интеграл или доказать его расходимость

Приложения:

Ответы

Ответ дал: mekhralievpr
0

Ответ:

5/4

Объяснение:

забиваешь всё в программу Wolfram и получаешь ответ и решение

Приложения:
Вас заинтересует