• Предмет: Физика
  • Автор: balayevalina
  • Вопрос задан 8 лет назад

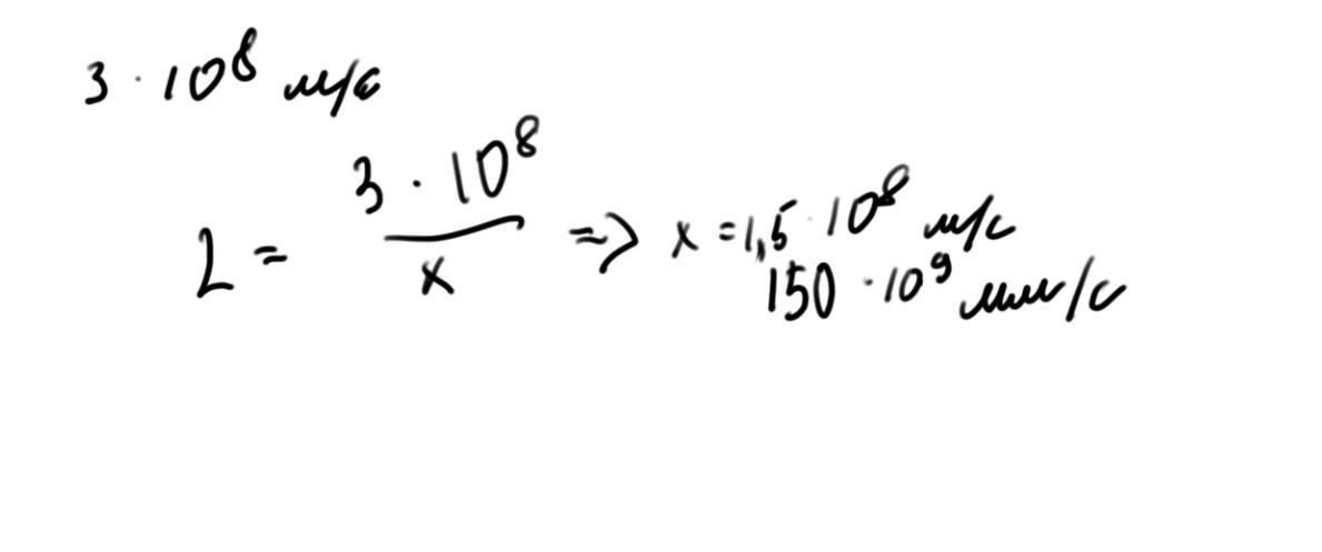
помогите пж только правильно пожалуйста не хочу плохую оценку​

Приложения:

amanda2sempl: Не знаю, не учитель
balayevalina: ок
amanda2sempl: 4 минимум, полагаю
balayevalina: спс❤
amanda2sempl: так уже проверили работу?
balayevalina: неа
balayevalina: я просто спросила т.к саиа делала на 5 не могу а 3 не хочу ну хотя бы 4
balayevalina: сама*
amanda2sempl: удачи тогда
balayevalina: спасибо и тебе❤

Ответы

Ответ дал: 987gg
0

Ответ:

1 Е

2 хз наверное В не очень корректно

Объяснение:

Приложения:
Вас заинтересует